




두 각의 크기가 60도임을 확인합니다. 삼각형 내각의 합이 180도이므로 나머지 한각은 60도가 됩니다.
모든 변의 길이도 대략 24cm로 측정됩니다. 3개 각이 60도이거나, 3개 변의 길이가 모두 같습니다.
접어진 삼각형은 정삼각형입니다.


접었던 A4 종이를 다시 펼치고, 살펴보겠습니다.
종이위에 싸인펜으로 표시한 2부분을 살펴보면, 종이가 완전히 겹치게 접었던 부분이므로, 180도를 3등분한 각이 됩니다. 즉, 삼각형의 3개의 각 중 2개 각이 60도가 되는 조건으로 접혔었기에, 정삼각형모양이 나왔다는 것을 확인할 수 있습니다.

앞의 과정 중 선분BC'의 길이는 A4 용지의 짧은 변의 길이이므로 21cm입니다.
접기로 완성된 삼각형은 BEF이고, 선분BC'는 높이가 됩니다. 그러면 한변의 길이를 구하려면 어떻게 해야할까요?
변의 길이를 알고 있는 BC'를 활용하도록 합니다.

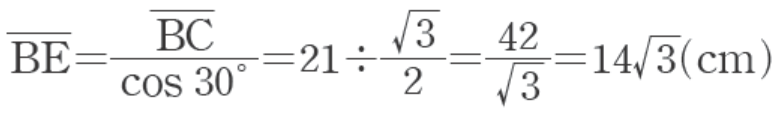
직각삼각형 BCE에서 ∠CBE=30도이므로

따라서 정삼각형 BEF의 넓이는


| [삼각비] 클리노미터(경사계) 만들고, 사물 높이 재기 (0) | 2022.06.20 |
|---|---|
| 엄마, 크게 접어주세요 : 정이십면체 편 (0) | 2022.06.08 |
| 삼각비 표(0도~180도)를 만들어봤어요. (0) | 2021.07.23 |
| 삼각비를 공부하기 전, 삼각법을 알아봐요 (0) | 2021.07.23 |
| 피타고라스의 정리, 직접 체험하고 이해하기 (0) | 2021.07.20 |